製品情報
高出力産業用フェムト秒レーザー FemtoLux 30/50/HE
製品詳細
概要
FemtoLux 30/50/HEは革新的な直接冷媒方式を採用し、冷却水不要の完全空冷式のレーザーです。冷却水不要によりメンテナンスの手間がかからず、また小型化・軽量化も達成し、省スペースで設置が可能です。
ディスプレイや電子機器・電子部品の製造、ガラス、サファイア、セラミックなどの脆性材料の微細加工・マーキングおよび様々な金属やポリマーの最高品質の微罪加工用に最適です。
■ パフォーマンス
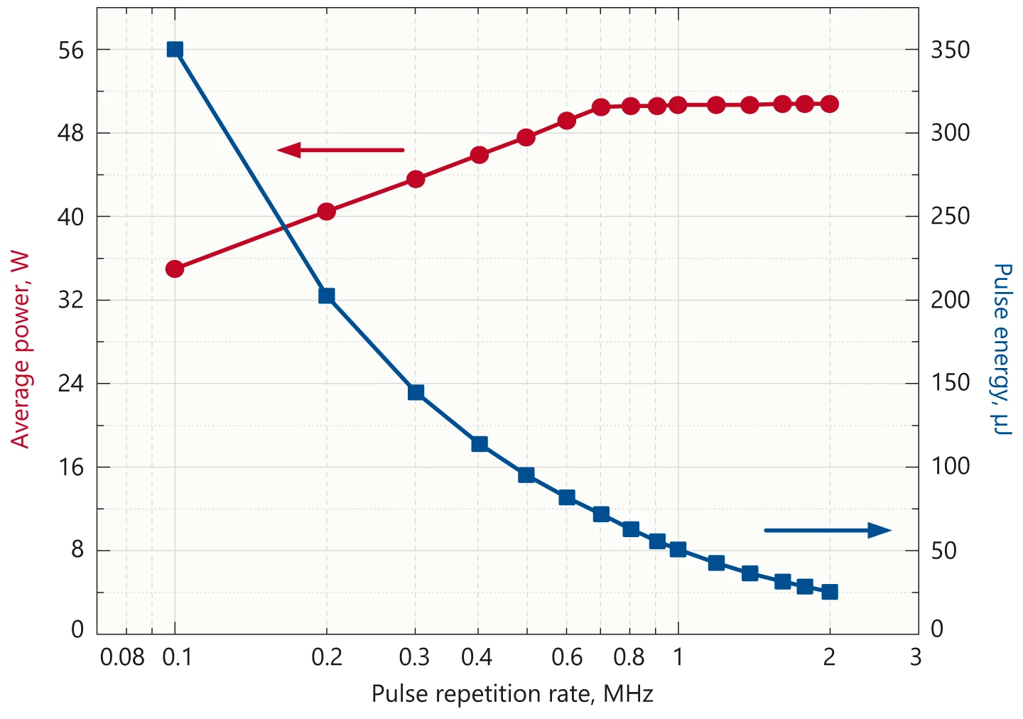
・FemtoLux 30
< 安定性 >
・FemtoLux 50
・FemtoLux HE
特長
・平均出力:最大50W @ 1030 nm 、(最大25 W @ 515 nm:オプション)
・パルスエネルギー:> 250 μJ @ 1030 nm (> 50 μJ @ 515nm:オプション)
・MHz、GHzバーストモード
・最大2 mJ/バースト
・パルス幅(可変):400 fs ~ 1 ps
・繰り返し周波数:シングルショット ~ 4 MHz
・乾式冷却
■ 主な用途
・LCD、LED、OLEDの穴あけ、切断、リペア
・電子機器・電子部品製造
・様々なポリマー類 ・金属類の微細加工
・ガラス、サファイア、セラミックの微細加工
仕様
■ 仕様:FemtoLux30/50/HE
| Model | FemtoLux 30 | FemtoLux 50 | FemtoLux HE | |
|---|---|---|---|---|
| Main Specifications 1) | ||||
| Central wavelength | 1030 nm | |||
| Laser pulse repetition rate (PRR) 2) | 200 kHz – 2 MHz, | 100 kHz – 2 MHz, | 10 kHz – 1 MHz | |
| 4 MHz optional | 4 MHz optional | |||
| Pulse picker PRR | Laser PRR / N, N=1, 2, 3, … , 65000; single shot | |||
| Maximal average output power 3) | ≥ 30 W | ≥ 45 W (typical 50 W) | ≥ 30 W | |
| Pulse energy 4) | ≥ 100 µJ, 300 µJ optional | ≥ 250 µJ (typical 300 µJ) | 1 mJ | |
| Power long term stability (Std. dev.) 5) | < 0.5 % | |||
| Pulse energy stability (Std. dev.) 6) | < 1 % | |||
| Pulse duration (FWHM) @ 1 MHz 7) | < 400 fs – 1 ps | |||
| Number of pulses in MHz burst 8) | 2 – 10 | |||
| Total energy in burst mode 9) | > 450 µJ | > 750 µJ | 2 mJ | |
| Beam quality | M2 < 1.2 (typical < 1.1) | |||
| Beam ellipticity, far field | 0.85 (typical ≥ 0.9) | |||
| Beam divergence (full angle) | < 1 mrad | |||
| Beam pointing thermal stability | < 20 µrad/°C | |||
| Beam diameter (1/e2) | 2.5 ± 0.4 mm @ 65 cm | |||
| Polarization | vertical | |||
| Synchronization mode | internal / external | |||
| Pulse output control | frequency divider, pulse picker, burst mode, packet triggering, power attenuation, pulse-on-demand | |||
| Control interfaces | RS232 / LAN | |||
| Length of the umbilical cord | 3 m, detachable | |||
| Laser head cooling type | dry (direct refrigerant cooling through detachable cooling plate), water cooling optional | |||
| Physical characteristics | ||||
| Laser head (W × L × H) | 434 × 569 × 150 mm | |||
| Power supply unit (W × L × H) | 483 × 534 × 184 mm | |||
| Operating Requirements | ||||
| Mains requirements | 100 – 240 V AC, single phase, 50/60 Hz | |||
| Maximal power rating | 1000 W | |||
| Operating ambient temperature | 18 – 27 °C | |||
| Relative humidity | 10 – 80 % (non-condensing) | |||
| Air contamination level | ISO 9 (room air) or better | |||
2) When frequency divider is set to transmit every pulse. Fully controllable by integrated AOM.
3) At 1 MHz. Please see graphs for power vs laser pulse repetition rate of FemtoLux series lasers.
4) For FemtoLux 30 maximal pulse energy 300 µJ at 50 kHz. Standard energy 100 µJ at 200 kHz.
5) Over 100 h after warm-up under constant environmental conditions.
6) Under constant environmental conditions.
7) Please see graph for typical pulse duration for different repetition rates.
8) Oscillator frequency ~50 MHz, ~20 ns separation between pulses.
9) For MHz burst mode or MHz+GHz burst mode at 50 kHz PRR. For Femtolux HE at 10 kHz
■ ハーモニクスモジュール
| Harmonics modules | |||
|---|---|---|---|
| Central wavelength | 515 nm | 343 nm | |
| Main specifications 1) 2) | |||
| Pulse energy 3) | 50 µJ | 30 µJ | |
| Average power | up to 25 W | up to 10 W | |
| Beam quality | M2 < 1.2 | M3 < 1.3 | |
| Beam ellipticity, far field | > 0.85 | ||
| Beam divergence (full angle) | < 0.7 mrad | < 0.5 mrad | |
| Beam diameter (1/e2) | 2.2 ± 0.4 mm @ 30 cm | ||
| Physical characteristics | |||
| Laser head with harmonic module (W × L × H) | 434 × 747 × 158 mm | ||
2) Harmonics are optimized at shortest pulse duration and 100 µJ pulse energy. For optimization at different pulse duration or energy, please contact.
3) Please see graphs for power vs laser pulse repetition rate graphs of FemtoLux series lasers.
■ GHzバーストオプション
| GHz burst option | |||
|---|---|---|---|
| Main specifications 1) | |||
| Laser Pulse Repetition Rate (PRR) | up to 500 kHz | ||
| Intra-burst pulse repetition rate 2) | 2 ± 0.25 GHz | ||
| GHz burst mode | short | long | |
| GHz burst length | 0.5 – 10 ns | 20 – 500 ns | |
| Number of pulses 3) | 2 – 20 | 40 – 1000 | |
| Shape | square, rising, falling | falling, pre-shaped 3) | |
| MHz + GHz Burst Mode | |||
| Number of pulses in MHz burst | 2 – 10 | ||
| Number of pulses in GHz burst 4) | 2 – 20 | ||
2) Custom intra-pulse PRR is available upon a request.
3) Depends on the intra-pulse PRR.
4) For more information, please contact.
・Short GHz burst
・Long GHz burst
・MHz + GHz burst mode
各資料
製品に関するご質問・御見積など、お気軽にお問い合わせください
03-6659-7541
関連製品
- この製品を検討
リストに追加する - この製品について
お問い合わせする


















